Стать инноватором. 5 привычек лидеров, меняющих мир - Хол Грегерсен
Книгу Стать инноватором. 5 привычек лидеров, меняющих мир - Хол Грегерсен читаем онлайн бесплатно и без регистрации! Читать онлайн вы можете не только на компьютере, но и на андроид (Android), iPhone и iPad. Наслаждайтесь!
196 0 18:25, 24-05-2019Книга Стать инноватором. 5 привычек лидеров, меняющих мир - Хол Грегерсен читать онлайн бесплатно без регистрации

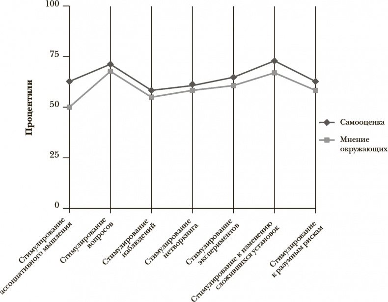
Рисунок 10-1. Лидерство в инновациях: в собственном восприятии и оценке других
Еще один важный фактор в стимулировании окружающих к созданию инноваций – поощрять их, когда они применяют на практике свои исследовательские навыки. Один высокопоставленный управленец отлично генерировал новые идеи, но был очень недоволен тем, что не может добиться того же от своей команды. С помощью круговой оценки инновационного ДНК удалось выяснить, что происходит. Результаты показали, что не создано надежных предпосылок для инноваций. По сравнению со всеми остальными оценивающими, руководитель постоянно ставил участникам команды оценки значительно ниже, чем кто бы то ни было другой (непосредственные подчиненные, исходя из баллов, выведенных им руководителем, попадали в 35-й процентиль по уровню исследовательских навыков, в то же время по их оценкам, выставленным друг другу – с подкрепляющими результатами от коллег из компании, – получался примерно 65-й процентиль). Почему руководитель так поступал? В ходе устроенного нами семинара по тимбилдингу вскрылось два обстоятельства. Во-первых, собственные идеи руководителю нравились больше, чем чьи-либо еще, и творческие находки других часто обесценивались. Во-вторых, при всех заявлениях о важности творческого подхода, своими поступками день за днем руководитель поощрял и вознаграждал исполнительское поведение. Такое внимание к успешному выполнению в сочетании с отторжением чужих идей в итоге привело к тому, что некоторые члены команды пересмотрели свою тактику поведения в присутствии руководителя. В любых иных ситуациях они могли действовать творчески, но выключали рубильник в присутствии руководителя. Такая проблема в руководстве не редкость. В исследовании Дэна Ариэли в The Upside of Irrationality («Позитивная иррациональность») проиллюстрирована простая когнитивная установка, которая часто толкает на такой тип поведения. Идеи, которые рождаются «не здесь», всегда подозрительны, потому что существует склонность недооценивать или игнорировать данные из источников, которые неизвестны или не проверены, что особенно касается тех ситуаций, когда идея противоречит сложившимся убеждениям и/или некой предпочтительной альтернативе. Такая предвзятость создает реальную лидерскую проблему, которую лидеры-новаторы умеют преодолевать, демонстрируя твердое намерение слышать и поддерживать идеи окружающих. В совокупности такие тактики помогают установить всеобъемлющую и глубокую убежденность, что инновации – дело каждого.
Кампания «Думай иначе» – лишь одна из многих формулировок, которыми Джобс пытался донести до сотрудников, что их задача – инновации. Когда-то он призывал команду разработчиков Macintosh создавать инновации, говоря им: «Давайте оставим след в этом мире. Мы сделаем нечто действительно важное, чтобы оставить след во Вселенной»[65]. Позднее он вдохновлял сотрудников Disney «бежать за мечтой» (будучи крупнейшим акционером, Джобс был напрямую заинтересован в инновационных успехах сотрудников Disney). Эти безоглядные призывы ясно давали понять: нам нужно, чтобы каждый из вас создавал инновации.
Разумеется, смелые лозунги должны подкрепляться смелыми действиями. Лафли из P&G следовал философии «мы создаем инновации»: «Пять или шесть лет назад большей частью инноваций P&G была обязана восьми тысячам исследователей и инженеров. P&G, которую мы хотим представить сегодня, призывает всех нас, всю сотню тысяч человек, создавать инновации». Чтобы подкрепить сквозной принцип инноваций, он активно запрашивал сотрудников самых разных отделов и направлений предлагать свои идеи, и если концепция казалась перспективной, брал ее в разработку. Например, Лафли поддержал успешный продукт по уходу за волосами для женщин, когда несколько сотрудниц-афроамериканок объяснили, что имеющаяся продукция не очень хорошо помогает – «мы можем сделать лучше». И P&G сделала лучше, запустив новую успешную линейку Pantene Pro-V Relaxed & Natural. Действия Лафли задали тон для укрепления философии, основанной на инновациях. И все же индивидуальной роли лидеров недостаточно. Мы видели, что в высокоинновационных компаниях, по сравнению с обычными, философские установки подкрепляют тем, что сотрудникам выделяется дополнительное время и ресурсы для инноваций.
Как мы упоминали в главе 1, CEO-основатели в нашем списке уделяют в полтора раза больше времени исследовательским практикам, по сравнению с CEO обычных компаний. Лидеры-новаторы понимают, что инновации с неба не падают – им необходимо уделить массу времени. Соответственно они делают то, чего не делают другие – закладывают на инновационную деятельность больше человеческих и финансовых ресурсов. Например, в Google философию «инновации – наше общее дело» подкрепляют правилом 20 %, призывая инженеров уделять до 20 % времени (то есть один день в неделю) работе над интересующими их проектами. Правилу 20 % пытаются следовать даже Брин, Пейдж и Шмидт. Руководство не ставит ограничений, как именно использовать время, но проекты должны быть одобрены, и сотрудники должны отчитаться за свое рабочее время. Мало того, поскольку по проектам ведется отчетность и документация, они в конечном итоге оказываются на внутрикорпоративном форуме идей для сбора данных по всей компании и проверки, что в итоге привлекает сотрудничество. Остальные в Google, узнав об идее, могут посвятить 20 % своего рабочего времени ее доработке. Среди этих «20-процентных» проектов было несколько очень успешных – в том числе Gmail, Google News, AdSense (контекстная реклама, позволяющая генерировать рекламные доходы) и Orkut (популярная соцсеть в Бразилии). Почти половина из новых продуктов, запущенных Google в последние годы, возникла из таких проектов 20 %. Это правило являет собой символическое подтверждение позиции руководства, что каждый должен участвовать в инновациях.
Утверждение принципов «Инновации – задача всех и каждого»
Наше исследование самых инновационных компаний мира показывает, что принцип «инновации – задача всех и каждого» получает большее распространение и активнее проявляется, когда:
1. Высшие руководители активно создают инновации, и все это видят и слышат об этом.
2. Всем сотрудникам выделяется время и ресурсы на выработку инновационных идей.
3. Инновации – прямо сформулированный и систематически применяемый критерий оценки работы сотрудников.
4. Компания выделяет по меньшей мере 25 % человеческих и финансовых ресурсов на улучшающие или прорывные инновации.
5. Компании включают инновации, творческий подход и любопытство в число основополагающих ценностей, не только на словах, но и на деле.
Подобно тому, что реализовано в Google, в 3M уже давно применяется аналогичное правило 15 %, а в P&G некоторые сотрудники говорили, что их призывают работать на 75 % «в системе» (т. е. выполнять задачи) и на 25 % «над системой» (то есть находить новые и более совершенные методы выполнения). В других компаниях, таких как Apple и Amazon, явных пропорций рабочего времени не называли, но регулярно просят сотрудников ставить эксперименты и заниматься инновационными проектами. Или же, в Atlassian Labs (инновационная австралийская компания, выпускающая инструменты для разработки ПО) применяется уникальная вариация на тему 20-процентного правила. Ежегодно устраивается день “FedEx” [служба доставки. – Прим. пер.], когда в течение 24 часов все разработчики ПО должны непрерывно генерировать новые продуктовые идеи. Разработчики интенсивно работают, чтобы сформировать жизнеспособный заказ на отгрузку “FedEx”, в котором достаточно детально будет отражена новая идея, чтобы ее могли оценить другие. Спустя 24 часа Atlassian устраивает день доставки “FedEx”, когда разработчики быстро создают прототипы и затем демонстрируют новые идеи ПО остальным сотрудникам компании. Такой ежегодный раунд инноваций доказал свою состоятельность, поскольку разработчики видят интерес и перспективу в своей работе и в конечном итоге помогают менеджерам по продуктам закрыть недостаток ассортимента новыми альтернативами.
Прочитали книгу? Предлагаем вам поделится своим впечатлением! Ваш отзыв будет полезен читателям, которые еще только собираются познакомиться с произведением.
Уважаемые читатели, слушатели и просто посетители нашей библиотеки! Просим Вас придерживаться определенных правил при комментировании литературных произведений.
Просьба отказаться от дискриминационных высказываний. Мы защищаем право наших читателей свободно выражать свою точку зрения. Вместе с тем мы не терпим агрессии. На сайте запрещено оставлять комментарий, который содержит унизительные высказывания или призывы к насилию по отношению к отдельным лицам или группам людей на основании их расы, этнического происхождения, вероисповедания, недееспособности, пола, возраста, статуса ветерана, касты или сексуальной ориентации. Просьба отказаться от оскорблений, угроз и запугиваний. Просьба отказаться от нецензурной лексики. Просьба вести себя максимально корректно как по отношению к авторам, так и по отношению к другим читателям и их комментариям.
Надеемся на Ваше понимание и благоразумие. С уважением, администратор My-Books.me.
Оставить комментарий
-
Александра15 январь 09:37
Очень интересная книга! Особенно, если любишь психологию и хочешь понимать себя и других. Обязательно послушаю до конца. Спасибо....
Кригер Борис – Гнев
-
Галина25 май 13:02
Очень уважаю Артема Шейнина, книга замечательная, очень мне близкая по духу.Перечитываю уже второй раз, столько пережитого и не...
Мне повезло вернуться - Артем Шейнин
-
Екатерина11 январь 08:05
Доброе утро. Подскажите пожалуйста как сохранять книги, ставить закладки?...
Подонок - Анастасия Леманн